我所在東北黑土農田酸桿菌生物地理分布研究上取得進展
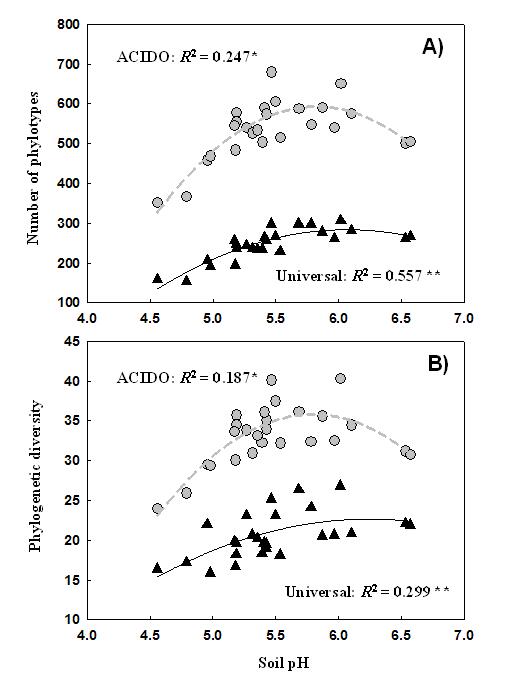
土壤中酸桿菌門細菌數量與變形菌門細菌相當,一般占細菌總量的20%-50%左右,在土壤生態過程中起到重要的作用。酸桿菌細菌一般具有嗜酸、寡營養和難培養的特點。國際上多篇基于高通量測序論文的研究結果發現,森林和草原土壤中酸桿菌的相對豐度與土壤pH成顯著負相關關系,然而我們前期針對我國東北黑土農田的研究發現這種關系在黑土帶上不成立(SBB, 2014, 70:113-122),表明黑土農田土壤酸桿菌可能存在獨特的分布格局。為此,我所農田分子生態學科組王光華團隊針對酸桿菌專性引物ACIDO/342r的Miseq測序結果,并結合前期采用細菌通用引物的454高通量測序結果,對酸桿菌門細菌在黑土帶上的分布規律進行了綜合分析。研究發現黑土農田土壤中存在21個酸桿菌亞門細菌,其中GP1、GP3、GP4和GP6為優勢類群,占測序總數的90%左右,而GP2相對豐度小于1%,這與自然森林和草地土壤不同。研究揭示出酸桿菌的絕對豐度(數量)與土壤有機質含量成高度正相關關系,表明黑土中一些酸桿菌成員為富營養菌,修正我們對酸桿菌是寡營養菌的認識。研究結果表明酸桿菌亞門GP1和GP3的相對豐度與土壤pH成負相關關系,而亞門GP4和GP6與pH成正相關關系;不同亞門酸桿菌與土壤pH值正負關系相互抵消及缺少GP2從而導致東北黑土農田酸桿菌相對豐度與土壤pH值負相關關系不顯著。研究揭示出黑土農田酸桿菌群落多樣性與pH值呈現非線性單峰分布狀態,在土壤pH值6.0左右時,酸桿菌多樣性最高。研究還發現,有別于黑土農田細菌和真菌群落分布規律,地理空間距離對酸桿菌群落在東北黑土帶上分布格局影響不大,而土壤因素,特別是土壤pH是驅動酸桿菌群落結構分布的關鍵因子。
該研究得到中科院先導科技專項XDB15010103等項目的資助,研究成果發表在最新出版的Soil Biology &Biochemistry (2016, 95:212-222)。目前該學科組已在SBB上連續發表3篇論文闡述東北黑土農田土壤微生物群落在黑土帶上的分布規律及驅動機制。
論文鏈接: http://www.sciencedirect.com/science/article/pii/S0038071716000067

圖1. 不同亞門酸桿菌相對豐度在不同pH值農田黑土中的分布情況

圖2. 黑土農田酸桿菌多樣性與土壤pH值關系?;疑珗A圈是采用酸桿菌特殊引物MiSeq測序結果,黑色三角是采用細菌通用引物454高通量測序結果。

圖3. 黑土農田不同亞門酸桿菌相對豐度與土壤pH值關系。灰色圓圈是采用酸桿菌特殊引物MiSeq測序結果,黑色三角是采用細菌通用引物454高通量測序結果。
附件下載:
吉公網安備22017302000214號