東北地理所在氣候變化影響黑土區農田土壤磷轉化方面取得進展
氣候變化深刻影響農田生態系統養分循環。磷素(P)作為農田生態系統中第二重要的植物營養元素,能夠調節作物對氣候變化的適應性。因此,研究作物磷吸收和土壤磷動態對氣候變化下維持農業生態系統可持續性至關重要。然而,大氣CO2濃度和溫度升高對作物生長和土壤磷組分的影響,以及相關微生物機制鮮有研究。
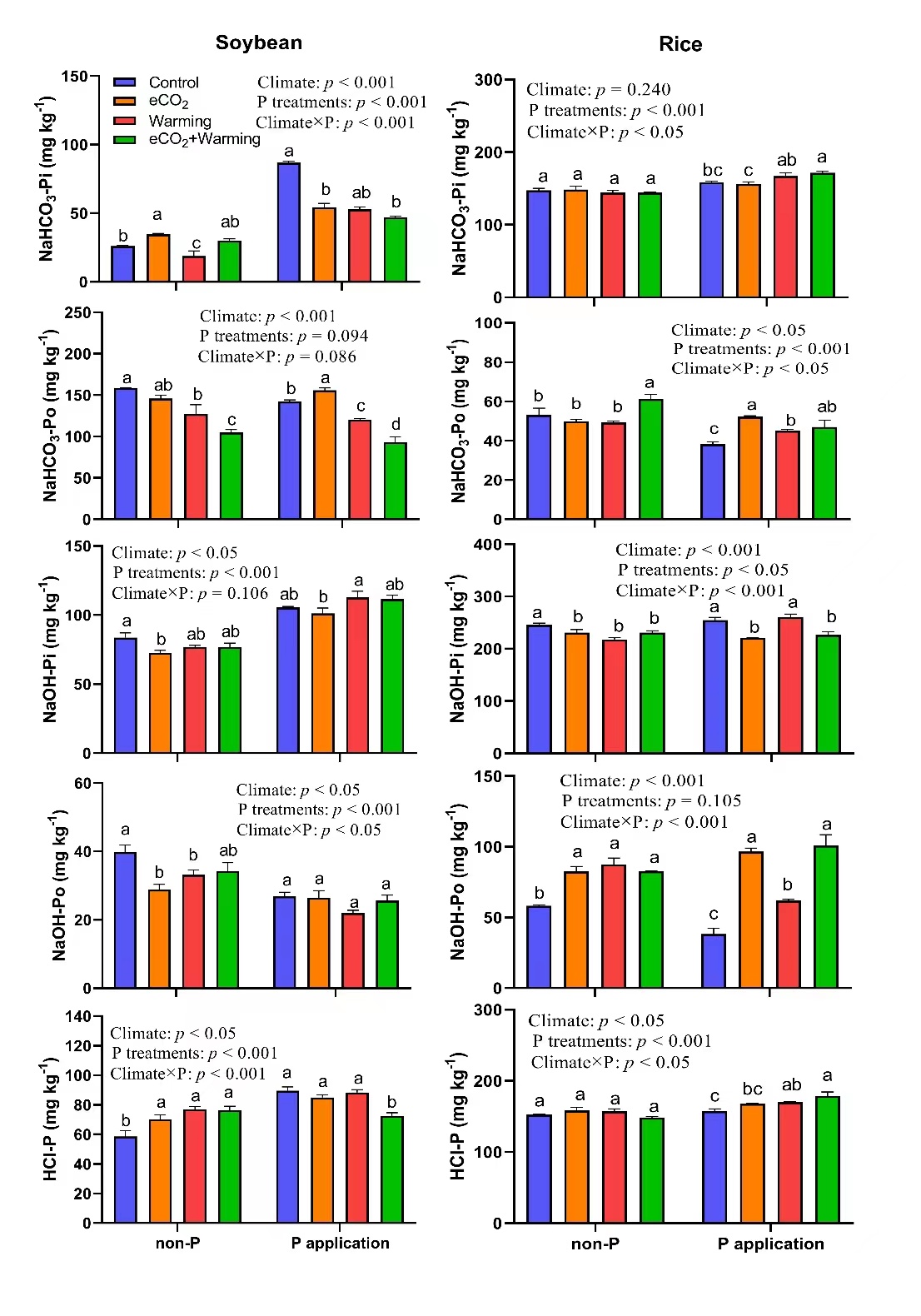
中國科學院東北地理與農業生態研究所農田分子生態學科組研究人員,利用開頂式氣候室(OTC)模擬大氣CO2濃度和溫度升高,種植大豆和水稻在施磷肥和不施磷肥條件下作物磷吸收及根際土壤磷轉化相關微生物分子生態特征。研究發現,在施磷肥和不施磷肥條件下,大氣CO2濃度和溫度升高分別增加大豆磷吸收23%和29%,水稻磷吸收34%和13%。因此,施磷條件下大豆磷吸收對氣候變化的響應更為明顯,而水稻則是在不施磷條件下更為顯著。而且,大氣CO2濃度和溫度同時升高降低大豆根際土壤有機磷含量,卻增加水稻根際土壤有機磷含量(圖1)。大豆根際有機磷含量與酸性磷酸酶活性呈負相關關系,然而在水稻根際呈正相關關系。因此,氣候變化影響大豆根際土壤磷轉化以有機磷礦化為主,而水稻則以磷固定為主。此外,大氣CO2濃度和溫度同時升高增加了大豆施磷土壤磷轉化相關基因豐度,如phoD(堿性磷酸酶合成基因)、phoC(酸性磷酸酶合成基因)、pstS(磷酸鹽特異性轉運蛋白酶)和phnX(磷酸酯酶基因),提出大豆根際有機磷的礦化是磷轉化的主要生物學過程,而水稻根際土土壤磷轉化主要以磷固定為主,而且根際土壤有效磷主要來自于無機磷的活化(圖2)。此研究揭示了作物—土壤—微生物系統磷循環的相關機理,為氣候變化條件下不同作物磷肥管理策略提供了理論基礎。

圖1 CO2濃度和溫度升高對大豆和水稻根際土壤磷組分的影響

圖2 CO2濃度和溫度升高對大豆和水稻磷吸收和土壤磷轉化的影響
相關成果在國際環境領域重要期刊Science of the Total Environment上發表,中國科學院東北地理與農業生態研究所博士生郭麗麗為論文第一作者,金劍研究員為論文通訊作者。研究成果得到黑龍江省自然科學基金重點項目(ZD2021D001)和中國科學院戰略先導項目(XDA28020201)的資助。
論文信息:Lili Guo, Zhenhua Yu, Yansheng Li, Zhihuang Xie, Guanghua Wang, Xiaobing Liu, Junjie Liu, Judong Liu, Jian Jin. Plant phosphorus acquisition links to phosphorus transformation in the rhizospheres of soybean and rice grown under CO2 and temperature co-elevated. Science of the Total Environment, 2022, 823, 153558.
附件下載:
吉公網安備22017302000214號