東北地理所在探究長期耕作和秸稈還田條件下土壤質量和玉米產量的驅動因素方面取得進展
土壤是農業生態系統功能的基礎,但是不合理的耕作方式正在破壞土壤結構、加劇土壤侵蝕和養分下降。玉米秸稈還田能通過改善土壤孔隙結構、增加土壤有機碳和養分含量來提高土壤質量。然而,不合理的秸稈還田深度可能會減少土壤大團聚體的形成,并加速碳礦化過程。因此,探索適宜的秸稈還田方式以提高土壤質量和作物產量至關重要。
東北地理所黑土保護與利用學科組研究人員依托位于黑土區的秸稈還田長期定位試驗,探究了秸稈還田深度對土壤質量和玉米產量的影響,通過分析土壤物理性質指數(SPI)、化學性質指數(SCI)和微生物性質指數(SMI)與土壤質量指數(SQI)和作物產量的關系,解析了適宜的秸稈還田方式在改善土壤質量、提升玉米產量方面的驅動機制,研究結果對提高土壤質量和制定可持續農業發展策略具有重要指導意義。
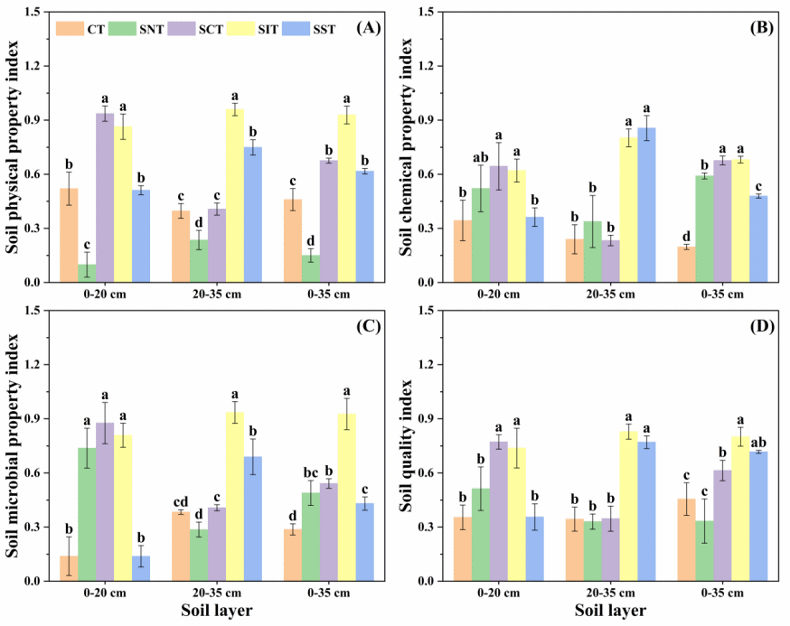
研究發現,秸稈還田與深翻耕作措施相結合顯著改善了土壤質量。0–20 cm土層,與常規耕作、免耕秸稈覆蓋和秸稈填埋處理相比,秸稈淺混和秸稈深混還田處理,SPI和SQI提高了43.9–845.4%(圖1)。在20–35 cm土層,秸稈深混還田和秸稈填埋處理的SPI、SCI和SMI較其他處理提高了69.2–307.7%。在所有處理中,秸稈深混還田處理在0–35 cm土層內表現出了最高的SPI、SCI和SMI。此外,秸稈深混還田處理下的SQI和玉米產量分別比其他處理提高了11.7–140.5%和15.6–78.0%。線性回歸分析表明,所有土層內的SPI對玉米產量均有顯著影響,而SCI和SMI與玉米產量的顯著相關性僅出現在20–35 cm土層(圖2,P < 0.05)。SPI對玉米產量的貢獻比SCI和SMI高18.6–156.8%(圖3),同時,SPI能夠直接影響SMI和SCI,是提高黑土區土壤質量和玉米產量的關鍵驅動因素(圖4)。

圖1. 秸稈還田對土壤質量、土壤物理、化學和微生物性質指數的影響。CT,常規耕作;SNT,免耕與秸稈還田相結合;SCT,常規耕作與秸稈還田相結合;SIT,深翻與秸稈還田相結合;SST,秸稈填埋還田。

圖2. 玉米產量與土壤性質指標的相關性擬合。SQI,土壤質量指數;SPI,土壤物理性質指數;SCI,土壤化學性質指數;SMI,土壤微生物特性指數。

圖3. SPI、SCI和SMI對SQI和玉米產量的貢獻

圖4. 概念圖顯示土壤性質對秸稈還田響應的增加(紅色)和減少(藍色),以及SPI、SCI和SMI對SQI和玉米產量的驅動機制。BD,土壤容重;SWC,土壤含水量;ANI,各向異性;FRD,分形維數;POIT,大孔隙度;SOC,土壤有機碳;AVN,堿解氮;AVP,有效磷;DOC,溶解性有機碳;DON,溶解性有機氮;MBN,微生物量氮;G+,革蘭氏陽性菌。
研究成果近期發表在農林科學國際期刊Soil & Tillage Research(中國科學院1區Top期刊)上。黑土保護與利用學科組科研助理劉春柱為論文第一作者,鄒文秀研究員為通訊作者。研究得到國家重點研發計劃(2022YFD1500105)、中國科學院戰略性先導科技專項A類(XDA28070100)、財政部和農業農村部:國家現代農業產業技術體系(CARS-04)和中國科學院區域發展青年學者計劃(2022-027)共同資助。
論文信息:
Chunzhu Liu,Bingcheng Si,Ying Zhao,Zhimin Wu,Xinchun Lu,Xu Chen,Xiaozeng Han,Yuanchen Zhu,Wenxiu Zou. Drivers of soil quality and maize yield under long-term tillage and straw incorporation in Mollisols. Soil & Tillage Research,2025,246,106360.
論文鏈接:
https://doi.org/10.1016/j.still.2024.106360
附件下載:
吉公網安備22017302000214號